从本质上来说,光照强度就是单位面积上太阳光的辐射功率。对于光伏发电而言,太阳能电池板是将太阳光转化为电能的核心部件,而光照强度直接决定了太阳能电池板接收到的能量大小,进而影响其产生的电流和电压。
简单来讲,当光照强度增强时,太阳能电池板接收到的能量增加,产生的电流和电压也随之增大,输出功率增大。光伏电池的发电能力在标准测试条件下,一般以光强为 1000 W/m² 进行测量,这也是实验室中模拟晴天光照的标准值 。然而在实际的户外条件下,光伏组件往往工作在低于1000 W的弱光情况下,大多数时候的光强在晴朗天气下,白天约200–800 W/m²;若包含阴天或多云天气,可能降至50–600 W/m²。
因为对于固定安装的光伏电站,一天中的光照强度是不断变化的。清晨,太阳缓缓升起,光照强度逐步增加, 到了中午时分,光照强度达到最高值;下午随着太阳逐渐西沉,光照强度又逐渐减弱,直至日落完全消失。这种光照强度的日变化,使得太阳能电池在一天内的发电量也随之波动。在光照强度高的时段,发电量明显增加,而光照强度低时,发电量则大幅减少。
因此,测量光伏组件在不同光强下,特别是弱光性能下的功率就尤为重要,是对于设计单位、投资商和用户评估发电量提供了重要的数据支撑。
一天中不同太阳光强占比会因季节、地理位置、天气状况等因素而有所不同,很难给出一个精确且通用的占比数值。不过,我们可以以晴朗天气下中纬度地区的大致情况为例来探讨:
•日出 - 上午 8 点:此阶段太阳高度角低,光线穿过大气层的路径长,被散射和吸收的程度高,斜射到光伏电池表面,光强较弱,大约为0-100 W/m2。这段时间光强占全天总光强的比例约为 5% - 10% 。
•上午 8 点 - 10 点:随着太阳升高,光强快速增强,光强约300-500 W/m2占全天总光强的比例大概为 15% - 20% 。
上午 10 点 - 中午 12 点:太阳高度角接近 90°,光伏电池的入射角度也接近90°,光强持续上升,在这段时间达到一天中的峰值,光强约600-1000 W,占全天总光强的比例约为 25% - 30% 。
•中午 12 点 - 下午 2 点:尽管太阳开始西斜,但地面热量积蓄仍在影响,光强依旧维持在较高水平,约800-1000 W,这一阶段占全天总光强的比例约为 20% - 25% 。
•下午 2 点 - 日落前 1 小时:太阳高度角和光伏电池的入射角度逐渐变小,光强逐步减弱,光强约200-600 W,占全天总光强的比例约为 15% - 20% 。
•日落前 1 小时 - 日落:光线穿过大气层路径变长,光强迅速下降,光强约为0-100W,这一小段时间占全天总光强的比例约为 5% - 10% 。
本次测评活动,我们选定了主流不同厂家的4款BC组件、14款TOPCon组件和4款HJT组件作为测评对象,分别在1000W/m2,700 W/m2,400 W/m2和200 W/m2的辐照度条件下对样品进行最大功率测试,并通过低辐照度损失率来评价预测不同组件的发电性能。这里我们介绍一下低辐照度损失率的概念,简单来说,就是用光伏组件在低光强下的实测功率,通过光强的比率换算到1000W时的功率,与1000W下实测的功率进行比较算出损失率。例如:一个组件1000 W下的功率是600W,200W下的功率是110W,那么低辐照度损失率就是用1-110x(1000/200)/600=8.4%。具体的公式如下:
其中:L为低辐照损失率,单位%;
Px为不同辐照度条件下实测的组件最大功率,单位W;
P0为STC条件下实测的组件最大功率,单位W;
I0为STC条件下的辐照度值1000,单位W/m2;
Ix为不同的测试辐照度值,单位W/m2。
表1 BC光伏组件低辐照性能测试结果


从上面的测试结果可以看出,同为BC组件的4款样品,在低辐照性能上表现出了较大的差异,BC-1样品相较于其他三个样品,低辐照损失率明显较高,在200 W/m2的辐照度下,低辐照度损失率6.57%,相比于BC-3样品的2.78%,高出了1倍以上。同时,从折线图可以看出,随着辐照度的降低,组件的低辐照损失率逐步增大,辐照度越低,不同组件的差异也越发明显。
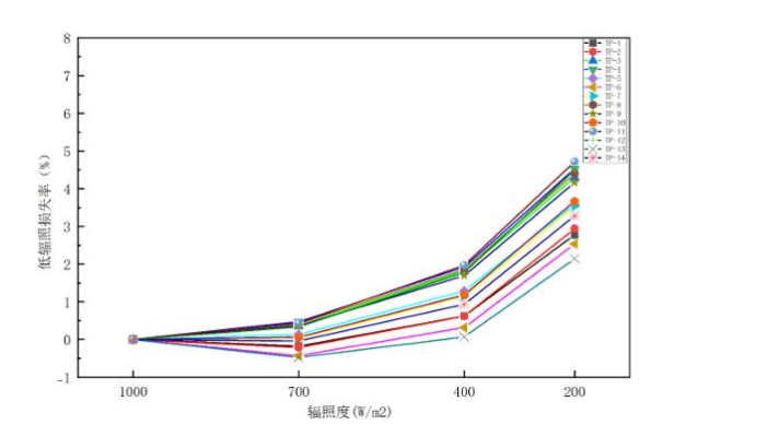
第二组样品为不同厂家不同型号的14款TOPCON组件,具体测试结果见表2。




可以看出,不同的TOPCon组件的低辐照性能也存在明显的差异。例如:200 W/m2的辐照度下,低辐照度损失率最小为2.14%,最大为4.72%。这些样品在200 W/m2的辐照度下的平均低辐照损失率达到了3.65%,有5个样品更是达到了4%以上。
第三组样品为4款不同厂家不同型号的HJT组件,具体测试结果见表3。

4个HJT组件样品在低辐照度条件下的整体表现略优于TOPCon组件,但也存在像HJT-4这种低辐照损失率较大的产品。而HJT-1样品在700 W/m2,400 W/m2的辐照度条件下,功率损失率为负数,只是在200 W/m2的辐照度下,有较小的功率损失,表现出了较好的低辐照性能。
最后,我们把BC、TOPCon和HJT放在一起进行低辐照度损失率的比较。可以看出,所有样品在700 W/m2的辐照度下,不同组件之间的低辐照损失率差别不大,均在1%以内,而随着辐照度的降低,组件之间的差异愈发明显,可见不同厂家的产品在低辐照性能上的表现存在较大的差别。
此外,三种技术类型的产品,在低辐照性能方面的差异并不明显,没有哪一种展现出全面的弱光优势,每一种技术都还有更多努力的空间。

综上所述,我们不仅要关注标准测试条件下1000W的组件功率和效率,更应该关注在不同光强下的光伏组件表现,根据组件的安装地区和应用场景选择最适合自己的组件。
特别声明:本站转载其他网站内容,出于传递更多信息而非盈利之目的,同时并不代表赞成其观点或证实其描述,内容仅供参考。版权归原作者所有,若有侵权,请联系我们删除。
浙江省太阳能光伏行业协会




